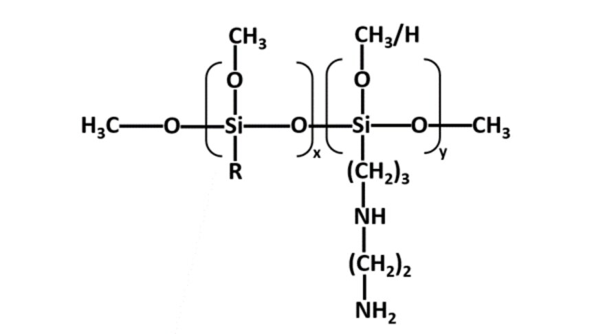
BRB Silanil® 1479 is silane co-oligomer between diamino functional and alkyl functional silane which can react with organic resins as well as with the surface of inorganic materials such as concrete, glass, aluminum, etc. BRB Silanil® 1479 is widely used as adhesion promoter between amino-reactive resins (MS polymer, silicone, silylated polyurethane, polyurethane and epoxy) and inorganic substrates which diamino group improves adhesion performance, while alkyl chain side enhances hydrophobicity.

Diamino alkyl functional silane oligomer for better adhesion and mechanical properties

BRB Silanil® 1479 has the following benefits:

• Improved adhesion performance between organic resins and inorganic substrates;
• Improved mechanical properties by coupling function on inorganic fillers for adhesives and coatings;
• Generated lower VOC with less byproduct during condensation reaction resulted in lower odor during application;
• Provided better hydrophobicity than regular diamino silane monomer with good wet adhesion result between organic adhesives/sealants and inorganic substrates;
• Improved elasticity with lower modulus of cured adhesives;
• Less yellowing than regular diamino silane monomer;
• Superior coupling agent in composites which is very useful for improvement of the mechanical properties of mineral filled rubber or resins.