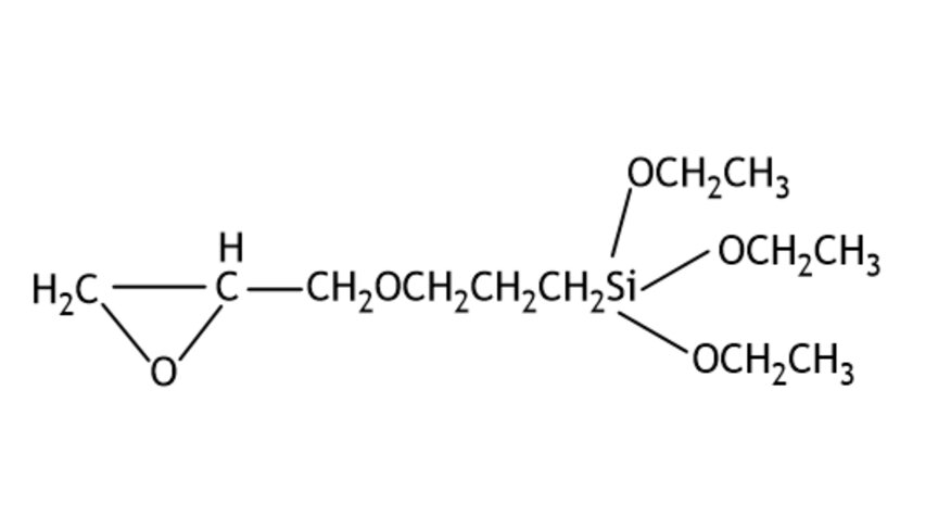
BRB Silanil® 260 is an epoxy silane which contains reactive glycidoxy and triethoxysilyl inorganic group.

Novel Silane BRB Silanil 260

BRB Silanil® 260 possesses both organic and inorganic reactivity that allows it to react with or "couple" organic polymers and inorganic surfaces. This dual reactivity should be considered when using BRB Silanil® 260 in specific applications.

BRB Silanil® 260 is particularly recommended as:

• Treatment on glass fiber for use in reinforced areas
• Treatment on mineral surfaces for use in mineral filled plastics
• Adhesion promoter to enhance bonding of a polymer coating or adhesive to glass

The main advantage of BRB Silanil® 260 to BRB Silanil® 258 is that in the hydrolyzation step there is split-off of ethanol instead of methanol, which makes the product much more friendly to work with.