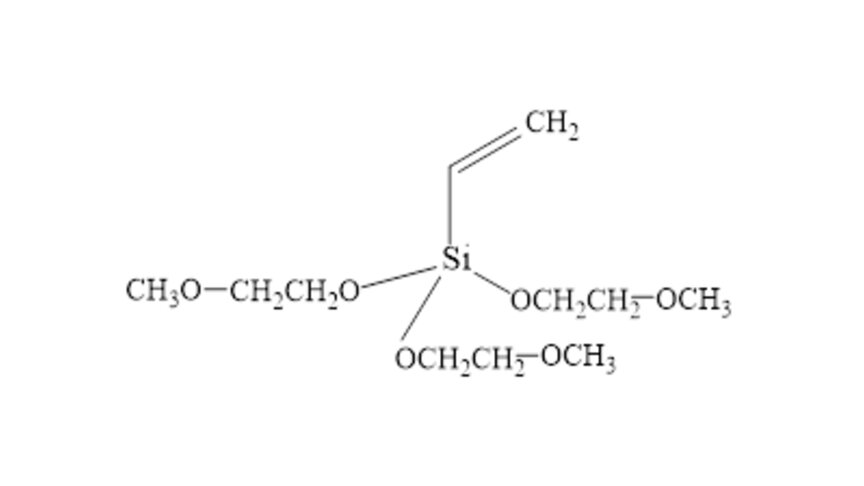
BRB Silanil® 106 is a reactive silane containing vinyl functionality and hydrolysable tri-methoxyethoxy group.

SiliconesNews Unique silane for filled rubber compounds and plastics

BRB Silanil® 106 is used as a coupling agent in filled rubber compounds and also in reinforced/filled plastics, especially when these are filled with minerals fillers or flame retardants like ATH or Mg(OH)2.

When used as a special coupling agent for EPDM, especially in wire and cables, BRB Silanil® 106 provides better water resistance compared to other silane. It also gives very good adhesion features in wire and cables.

BRB Silanil® 106 having the following benefits:-

• Improves electrical properties and strengths of mineral filled EPDM rubber
• Increases water resistance when modified polymer chains by copolymerization
• Improves scratch resistance in vinyl latexes
• Good bonding and adhesion on inorganic fillers or substrates
• Enhances mechanical properties of fiber glass reinforced plasticsm, e.g. unsaturated polyester