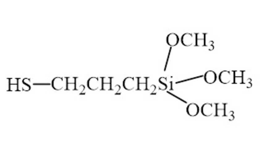
BRB Silanil® 442 is a reactive silane containing a mercaptopropyl organic group and a trimethoxysilyl inorganic group.

Specialized silane for mineral filled rubber compounds

BRB Silanil® 442 provides very good adhesion promotion features between natural minerals and rubber which acts as a coupling agent, bonding between polymer chains and minerals, e.g. clay, mica, silica in order to provide better tensile, tear, modulus strength and better mechanical properties in general.

BRB Silanil® 442 having the following benefits:-

• Improved adhesion between mineral fillers and sulfur-cured rubber.
• Improved process ability during compounding process with good inorganic fillers dispersion and agglomeration reduction.
• Improved mechanical properties by good coupling performance between inorganic and organic materials.
• Improved moisture resistance of rubber compound.
• Improved abrasion and wear resistance which is durability benefit in shoe soles application.